BRDF
궁극적으로, 물리 기반 렌더링은 어떤 view ray 집합을 따라 카메라에 들어오는 radiance(휘도)를 계산하는 것이다.
주어진 뷰 레이에 대해 우리가 계산해야 하는 값은 Li(c, v) 이다.
c 는 카메라 위치, v 는 뷰 레이 방향 (카메라를 향하는 방향) 이다.
렌더링에서 장면은 일반적으로 매질로 채워진 객체들의 집합으로 모델링된다
.
이 장에서는 참여 매질이 없다고 가정하고, 카메라에 들어오는 radiance(휘도)는 카메라 방향으로 가장 가까운 물체 표면에서 방출되는 것으로 가정한다.

여기서 p 는 뷰 레이가 가장 가까운 객체 표면과 교차하는 점이다.
우리의 새로운 목표는 Lo(p, v) 를 계산하는 것이다.
이 장에서는 transparency(투명성)과 global subsurface scattering은 배제하고, 로컬 반사 현상에 집중한다.
Lo의 의미는 현재 음영 처리 중인 점에 도달한 빛이 다시 바깥으로 반사되는 현상이다.
여기에는 표면 반사뿐만 아니라 local subsurface scattering도 포함되며, 입사광 방향 l과 v에만 의존한다.
이러한 로컬 반사는 BRDF(bidirectional reflectance distribution function)로 정량화할 수 있으며, 이를 f(l, v) 로 표기한다.
incoming 방향과 outgoing 방향은 각각 2 degree of freedom을 가진다.
자주 쓰이는 매개화 방식은 두 개의 각도를 이용하는 것이다. 표면 법선 n 에 대한 고도(θ)와, n을 기준으로 한 방위각(φ)이다.
일반적으로 BRDF는 네 개의 스칼라 변수의 함수이다. ( l, v, θ, φ 이렇게 총 4개)

특수 경우로 Isotropic BRDF(등방성 BRDF)가 있다.
이런 BRDF는 incoming과 outgoing 방향을 표면 법선을 중심으로 회전시켜도, 두 방향 사이의 상대 각도만 같다면 BRDF의 값이 변하지 않는다. (=> 모든 방향으로 동일하게 반사시킨다는 의미)
isotropic BRDF(등방성 BRDF)는 세 개의 스칼라 변수의 함수이며,
빛과 카메라 사이의 단일 각도 φ(방위각) 만 필요하다. 이는 균일한 등방성 재질을 턴테이블에 올려 회전시켜도, 고정된 조명과 카메라 하에서는 어느 각도에서나 똑같이 보인다는 뜻이다.
(=> 등방성이면 φ(방위각)도 필요없는거 아님? diffuse 계산할 때는 필요가 없다고 볼 수있지만, specular를 계산하기 위해서 상대 φ(방위각)을 알아야하기 때문에 인자로 넘겨줘야한다.
위의 예시는 θi, θo를 고정으로하는 예시여서 θ는 인자로 안받고 있는것이다.)
주어진 파장의 입사광은 같은 파장에서 반사될 때 두 가지 방식으로 모델링할 수 있다. (형광이나 인광과 같은 현상은 무시)
1. 파장을 BRDF의 추가 입력 변수로 다루거나
2.BRDF가 스펙트럼 분포 값을 반환하도록 하는 것 (=>BRDF함수가 rgb 값을 반환하는 것)
실시간 렌더링에서는 항상 두 번째 방식이 쓰인다.
실시간 렌더러는 스펙트럼 분포를 RGB 삼원값으로 표현하기 때문에, 이는 단순히 BRDF가 RGB 값을 반환한다는 뜻이다.
BRDF수식
를 계산하기 위해, 우리는 BRDF( f(l,v) )를 반사 방정식(reflectance equation)에 포함시킨다.

위 식을 간단히 설명하면, Li 를 통해 incoming되는 빛의 세기 BRDF식을 곱해서 outgoing을 연산해준다, (dot(n, l)로 각도에 따른 세기를 조절한다.)
적분 기호의 첨자 l∈Ω는, 적분이 표면의 법선 n을 중심으로 한 단위 반구 위에 놓인 입사 방향 벡터 l에 대해 수행된다는 것을 의미한다.
여기서는 적분을 하고 있기 때문에 반구 위 대한 전체 입사 방향을 계산하다.
다시 한 번 정리하면, outgoing radiance(반사 방정식)는 incoming radiance(입사 휘도)에 BRDF를 곱하고 dot(n,l) 을 곱한 값을 반구 위에서 적분한 것과 같다는 사실을 보여준다.
(BRDF는 incoming방향 빛이 outgoing 방향으로 얼마나 반사되는 지에 대한 분포임을 기억하자)
편의상, 이어지는 식에서는 p(표면 위치)를 생략해서표기하겠다.

반구를 적분할 때는, spherical coordinates(구면 좌표계) ϕ, 를 사용한다.
이때 미소 입체각 dl은 다음과 같이 된다.

정확한 원리는 아니지만, 직관적으로 이해해 보자면 아래와 같다.
: 원 둘레 방향(수평)으로 얼마나 회전했는지.
dθ: 위아래(극 방향)으로 얼마나 움직였는지.
sinθ: polar angle이 커질 수록, 반구의 둘레가 커짐 그 값을 보정해주는 역할
이 파라미터화를 사용하면, dot(n, l) = cosθ_i 라는 사실을 이용해서
아래와 같은 이중 적분(double integral) 형태를 얻을 수 있다.
(위에서 구한 dl 을 치환해준다. 그에 때라 θ, ϕ의 적분으로 바꿔줘야하니 double integral이 되는데, θ는 반구니까 pi/2이고, ϕ는 구의 둘레니까 2pi로 적분해준다.)
로컬 프레임에서 n=(0,0,1), l(θ,ϕ)=(sinθcosϕ, sinθsinϕ, cosθ)
그래서 n⋅l=cosθ가 된다.

θi, ϕi, θo, ϕo 에 대한 그림
때로는 θi,θo 대신 elevation angle(고도각)의 코사인 값을 변수로 사용하는 것이 편리하다.
μi=cosθi, μo=cosθo


이 파라미터화를 사용하면 dl은 아래 처럼되고

최종식은 아래와 같이 표기할 수 있다.

BRDF는 입사 방향과 시선 방향이 모두 표면 위에 있을 때만 정의된다.
즉, 광선이 표면 아래로 들어가는 경우는, BRDF에 0을 곱하거나 애초에 계산하지 않도록 하여 피할 수 있다.
하지만 시선 방향이 표면 아래에 있는 경우( dot(n,v) < 0,z 코사인 때문에 음수가 나온다. )는 어떻게 해야 할까?
음수면 빛을 어떻게 뺐어가기라도 할거야?
그래서 dot product를 할 때 max( dot(n,v), 0.0f) 를 해서 clamping해주는 것을 잊지말자
( Frostbite 엔진은dot(의 절댓값에 아주 작은 값(0.000001)을 더해 divide by zero를 피하도록 구현했다.
또 다른 방법은 soft clamp로, n과 v의 각도가 90°를 넘어가면 점차적으로 0으로 수렴하게 만드는 방법도 존재한다.)
물리 법칙은 어떤 BRDF에도 두 가지 제약을 부과한다.
1. Helmholtz reciprocity(헬름홀츠 상호성)로, 입력과 출력 각도를 서로 바꾸어도 함수값이 동일해야 한다는 의미이다.

상호성을 엄밀히 요구하는 bidirectional path tracing을 제외하면,
실무에서 사용하는 BRDF들은 대부분 Helmholtz reciprocity를 위반하더라도 눈에 띄는 아티팩트 없이 잘 동작한다.
( 그럼에도 reciprocity(상호성)은 BRDF가 물리적으로 그럴듯한지 판단할 때 유용한 도구다.)
2. conservation of energy(에너지 보존)이다.
incoming 에너지가 outgoing 에너지보다 커질 수 없다. (발광물체 제외)
실시간 렌더링에서는 정확한(엄밀한) 에너지 보존까지는 필요 없지만, 근사적인 에너지 보존이 중요하다.
에너지 보존을 크게 위반하는 BRDF는 렌더링된 표면이 과도하게 밝아져 비현실적으로 보일 수 있다.
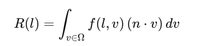
directional-hemispherical reflectance은 은 BRDF와 관련된 함수로,
BRDF가 에너지 보존을 얼마나 만족하는지 측정하는 데 쓰인다.
주어진 하나의 incoming 방향으로부터 들어온 빛이 표면 법선 주변의 반구 내 모든 outgoing 방향으로 얼마나 반사되는지를 측정한다.


에너지 보존의 결과로,
R(l)의 값은 항상 [0,1]범위에 있어야 한다.
값이 0이면 모든 입사광이 흡수되거나 소실되는 경우이고, 1이면 모든 빛이 반사되는 경우다.
주의할 점은, BRDF는 분포함수이기 때문에 위치에 따라서 값이 크고, 작을 수 있다.
에너지 보존을 만족하기 위해서는 모든 l에 대해서 R(l)이 1을 넘지 않아야 한다.
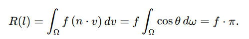
Lambertian BRDF
가장 단순한 BRDF는 Lambertian(램버시안)이며, 상수 값을 갖는다.
Lambertian BRDF의 이 상수 반사율을 cdiff(diffuse color) 또는 ρ (albedo, 알베도) 라고 부르는데,
Lambertian은 단순함에도 불구하고, 실시간 렌더링에서 local subsurface scattering을 표현하는 데 자주 사용된다. (이후 내용에서 다루는 더 정확한 모델들이 점차 대체하고 있다.)
이 장에서는 subsurface scattering과 연계를 강조하기 위해 이를 ρss(subsurface albedo)라 부르겠다.
(ρsss는 이후 장에서 자세히 다루겠다.)
람베르시안 표면의 bidirectional-hemisphereical reflectance(R)도 상수다.


R(l)은 주어진 입사 방향에서 전체로 얼마나 반사되는가(=알베도)인데,
물리적으로 이 값이 ρ여야 한다.

그렇기 떄문에 f(l, v)가 pss / pi 값을 갖는다.
BRDF를 이해하는 한 가지 방법은, 입사 방향을 고정한 채 시각화하는 것이다.
아래의 그림은 잘 안보이지만 우측에서 좌측으로 들어오는 초록색 ray가 입사광선이다.

주어진 입사 방향에 대해, 모든 outgoing 방향에 대한 BRDF 값을 표시한다.
'ComputerGraphics > 책' 카테고리의 다른 글
| [RealTimeRendering] Fresnel Effect (2) | 2025.08.28 |
|---|---|
| [RealTimeRendering] Physically Based Shading(2) (5) | 2025.08.27 |
| [RealTimeRendering] Physically Based Shading(1) (3) | 2025.08.27 |
| [책] Real-Time Rendering (2) | 2025.08.26 |
| [RealTimeReadering] Non-Photorealistic Rendering (5) | 2025.08.26 |
